Министерство Юстиции Российской Федерации
версия для слабовидящих
×
Закрыть
Информация об официальном опубликовании
Документ официально опубликован в "Бюллетене нормативных актов федеральных органов исполнительной власти", N 19, 12.05.2014
ПРИКАЗ Минтруда РФ от 25.10.2013 N 574н
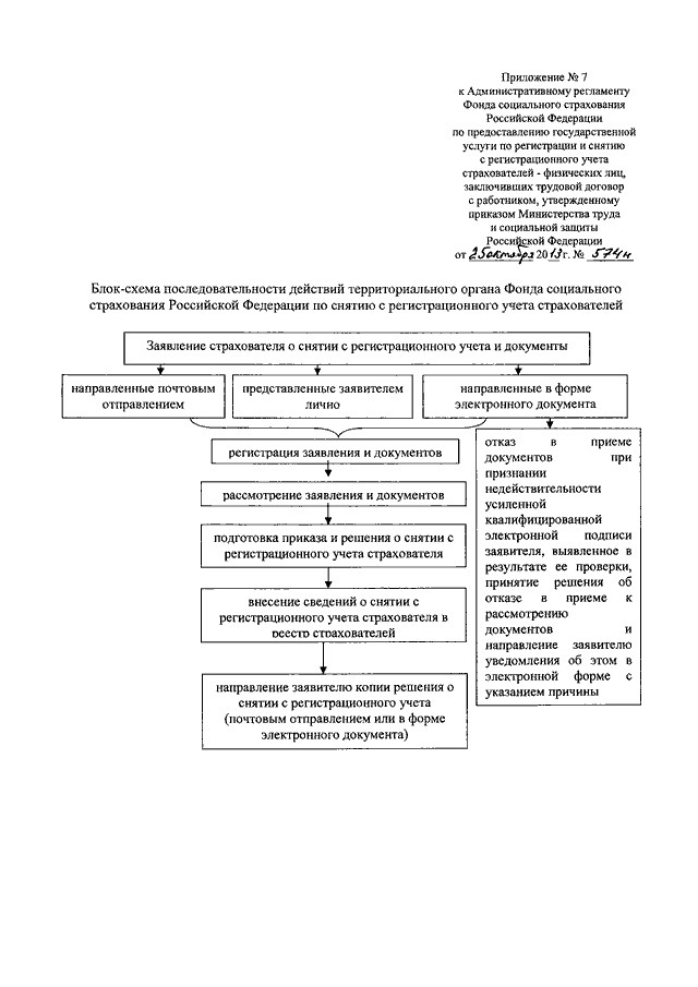
"ОБ УТВЕРЖДЕНИИ АДМИНИСТРАТИВНОГО РЕГЛАМЕНТА ФОНДА СОЦИАЛЬНОГО СТРАХОВАНИЯ РОССИЙСКОЙ ФЕДЕРАЦИИ ПО ПРЕДОСТАВЛЕНИЮ ГОСУДАРСТВЕННОЙ УСЛУГИ ПО РЕГИСТРАЦИИ И СНЯТИЮ С РЕГИСТРАЦИОННОГО УЧЕТА СТРАХОВАТЕЛЕЙ - ФИЗИЧЕСКИХ ЛИЦ, ЗАКЛЮЧИВШИХ ТРУДОВОЙ ДОГОВОР С РАБОТНИКОМ"
(Зарегистрировано в Минюсте РФ 21.03.2014 N 31687)
Справка к документу
Показывать страниц:
1
10
100
Для качественной печати:
PDF-файл документа (3 Мб)
<<
<
43
44
45
46
47
48
49
>
>>
Страница
48
из
49
<<
<
43
44
45
46
47
48
49
>
>>