Министерство Юстиции Российской Федерации версия для слабовидящих
ПРИКАЗ Минкультуры РФ от 16.01.2026 N 48
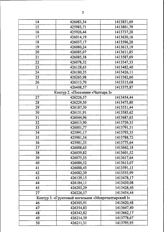
"О ВКЛЮЧЕНИИ ВЫЯВЛЕННЫХ ОБЪЕКТОВ КУЛЬТУРНОГО НАСЛЕДИЯ (ПАМЯТНИКОВ ИСТОРИИ И КУЛЬТУРЫ) НАРОДОВ РОССИЙСКОЙ ФЕДЕРАЦИИ (ОБЪЕКТОВ АРХЕОЛОГИЧЕСКОГО НАСЛЕДИЯ), РАСПОЛОЖЕННЫХ НА ТЕРРИТОРИИ ВОЛГОДОНСКОГО РАЙОНА, КОНСТАНТИНОВСКОГО РАЙОНА, КРАСНОСУЛИНСКОГО РАЙОНА, МАТВЕЕВО - КУРГАНСКОГО РАЙОНА, МЯСНИКОВСКОГО РАЙОНА, ОКТЯБРЬСКОГО РАЙОНА, ПРОЛЕТАРСКОГО РАЙОНА РОСТОВСКОЙ ОБЛАСТИ, В ЕДИНЫЙ ГОСУДАРСТВЕННЫЙ РЕЕСТР ОБЪЕКТОВ КУЛЬТУРНОГО НАСЛЕДИЯ ПАМЯТНИКОВ ИСТОРИИ И КУЛЬТУРЫ) НАРОДОВ РОССИЙСКОЙ ФЕДЕРАЦИИ В КАЧЕСТВЕ ОБЪЕКТОВ КУЛЬТУРНОГО НАСЛЕДИЯ (ПАМЯТНИКОВ ИСТОРИИ И КУЛЬТУРЫ) НАРОДОВ РОССИЙСКОЙ ФЕДЕРАЦИИ ФЕДЕРАЛЬНОГО ЗНАЧЕНИЯ И УТВЕРЖДЕНИИ ГРАНИЦ ИХ ТЕРРИТОРИЙ"
(Зарегистрировано в Минюсте РФ 26.02.2026 N 85481)
Показывать страниц:
Для качественной печати: PDF-файл документа (78 Мб)
Страница 21 из 25