Министерство Юстиции Российской Федерации версия для слабовидящих
ПРИКАЗ Минкультуры РФ от 17.02.2026 N 277
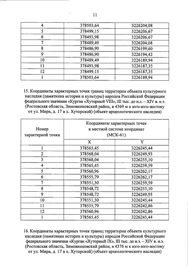
"О ВКЛЮЧЕНИИ ВЫЯВЛЕННЫХ ОБЪЕКТОВ КУЛЬТУРНОГО НАСЛЕДИЯ (ПАМЯТНИКОВ ИСТОРИИ И КУЛЬТУРЫ) НАРОДОВ РОССИЙСКОЙ ФЕДЕРАЦИИ (ОБЪЕКТОВ АРХЕОЛОГИЧЕСКОГО НАСЛЕДИЯ), РАСПОЛОЖЕННЫХ НА ТЕРРИТОРИИ АЗОВСКОГО РАЙОНА, ЗЕРНОГРАДСКОГО РАЙОНА, ЗИМОВНИКОВСКОГО РАЙОНА, КОНСТАНТИНОВСКОГО РАЙОНА, КРАСНОСУЛИНСКОГО РАЙОНА, МАРТЫНОВСКОГО РАЙОНА РОСТОВСКОЙ ОБЛАСТИ, В ЕДИНЫЙ ГОСУДАРСТВЕННЫЙ РЕЕСТР ОБЪЕКТОВ КУЛЬТУРНОГО НАСЛЕДИЯ (ПАМЯТНИКОВ ИСТОРИИ И КУЛЬТУРЫ) НАРОДОВ РОССИЙСКОЙ ФЕДЕРАЦИИ В КАЧЕСТВЕ ОБЪЕКТОВ КУЛЬТУРНОГО НАСЛЕДИЯ (ПАМЯТНИКОВ ИСТОРИИ И КУЛЬТУРЫ) НАРОДОВ РОССИЙСКОЙ ФЕДЕРАЦИИ ФЕДЕРАЛЬНОГО ЗНАЧЕНИЯ И УТВЕРЖДЕНИИ ГРАНИЦ ИХ ТЕРРИТОРИЙ"
(Зарегистрировано в Минюсте РФ 31.03.2026 N 85810)
Показывать страниц:
Для качественной печати: PDF-файл документа (68 Мб)
Страница 64 из 84