Министерство Юстиции Российской Федерации
версия для слабовидящих
×
Закрыть
Информация об официальном опубликовании
ПРИКАЗ Минприроды РФ от 01.10.2025 N 506
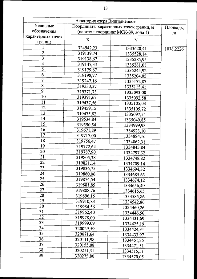
"ОБ УТВЕРЖДЕНИИ ПОЛОЖЕНИЯ О НАЦИОНАЛЬНОМ ПАРКЕ "ВИШТЫНЕЦКИЙ"
(Зарегистрировано в Минюсте РФ 29.12.2025 N 84833)
Показывать страниц:
1
10
100
Для качественной печати:
PDF-файл документа (22 Мб)
<<
<
25
26
27
28
29
30
31
32
33
34
35
>
>>
Страница
30
из
47
<<
<
25
26
27
28
29
30
31
32
33
34
35
>
>>