Министерство Юстиции Российской Федерации
версия для слабовидящих
×
Закрыть
Информация об официальном опубликовании
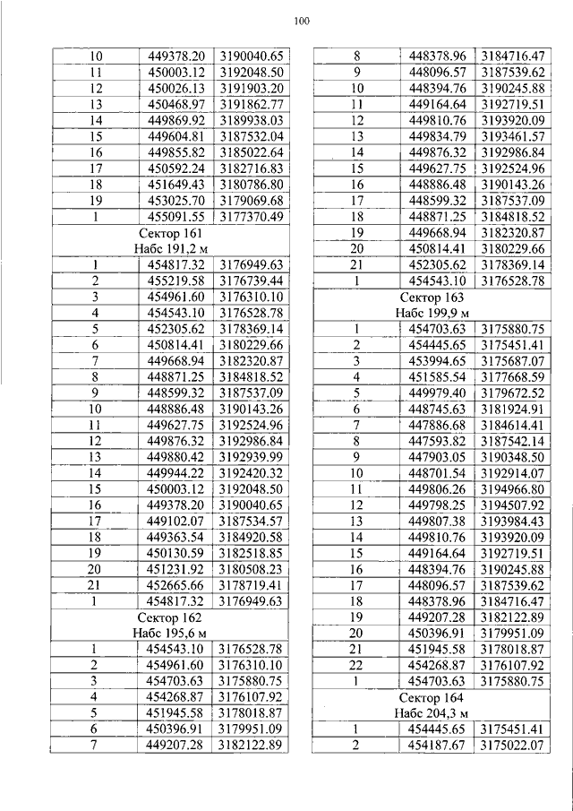
ПРИКАЗ Росавиации от 24.12.2024 N 1162-П
"ОБ УСТАНОВЛЕНИИ ПРИАЭРОДРОМНОЙ ТЕРРИТОРИИ АЭРОДРОМА ГРАЖДАНСКОЙ АВИАЦИИ ХАБАРОВСК (НОВЫЙ)"
(Зарегистрировано в Минюсте РФ 31.01.2025 N 81111)
Показывать страниц:
1
10
100
Для качественной печати:
PDF-файл документа (61 Мб)
<<
<
96
97
98
99
100
101
102
103
104
105
106
>
>>
Страница
101
из
166
<<
<
96
97
98
99
100
101
102
103
104
105
106
>
>>