Министерство Юстиции Российской Федерации версия для слабовидящих
ПРИКАЗ Минкультуры РФ от 13.08.2024 N 1543
"ОБ УТВЕРЖДЕНИИ ГРАНИЦ ОБЪЕДИНЕННОЙ ЗОНЫ ОХРАНЫ ОБЪЕКТА КУЛЬТУРНОГО НАСЛЕДИЯ ФЕДЕРАЛЬНОГО ЗНАЧЕНИЯ "ЦЕРКОВЬ БОГОЯВЛЕНИЯ СО ЗВОННИЦЕЙ, 1489 Г.", ВКЛЮЧЕННОГО В СПИСОК ВСЕМИРНОГО НАСЛЕДИЯ И ОТНЕСЕННОГО К ОСОБО ЦЕННЫМ ОБЪЕКТАМ КУЛЬТУРНОГО НАСЛЕДИЯ НАРОДОВ РОССИЙСКОЙ ФЕДЕРАЦИИ, ОБЪЕКТОВ КУЛЬТУРНОГО НАСЛЕДИЯ ФЕДЕРАЛЬНОГО ЗНАЧЕНИЯ "ЦЕРКОВЬ ПЕТРА И ПАВЛА С БУЯ", XVI В. (ПСКОВСКАЯ ОБЛАСТЬ) И "ГРЕМЯЧАЯ БАШНЯ", XVI В., ВХОДЯЩЕГО В СОСТАВ ОБЪЕКТА КУЛЬТУРНОГО НАСЛЕДИЯ ФЕДЕРАЛЬНОГО ЗНАЧЕНИЯ "КОМПЛЕКС КРЕПОСТНЫХ СООРУЖЕНИЙ ОКОЛЬНОГО ГОРОДА", XV - XVI ВВ. (ПСКОВСКАЯ ОБЛАСТЬ), ОТНЕСЕННЫХ К ОСОБО ЦЕННЫМ ОБЪЕКТАМ КУЛЬТУРНОГО НАСЛЕДИЯ НАРОДОВ РОССИЙСКОЙ ФЕДЕРАЦИИ, ОСОБЫХ РЕЖИМОВ ИСПОЛЬЗОВАНИЯ ЗЕМЕЛЬ И ТРЕБОВАНИЙ К ГРАДОСТРОИТЕЛЬНЫМ РЕГЛАМЕНТАМ В ГРАНИЦАХ ТЕРРИТОРИИ ДАННОЙ ЗОНЫ"
(Зарегистрировано в Минюсте РФ 25.11.2024 N 80311)
Показывать страниц:
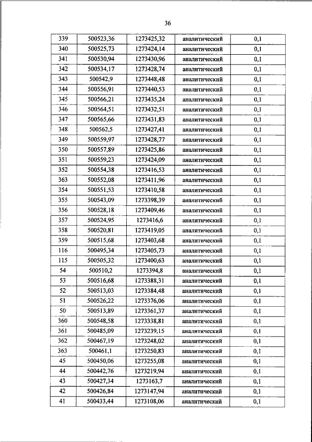
Для качественной печати: PDF-файл документа (18 Мб)
Страница 36 из 54