Министерство Юстиции Российской Федерации версия для слабовидящих
ПРИКАЗ Минкультуры РФ от 13.08.2024 N 1544
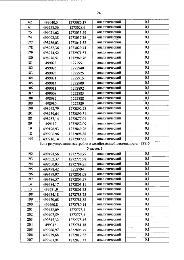
"ОБ УТВЕРЖДЕНИИ ГРАНИЦ ЗОН ОХРАНЫ ОБЪЕКТА КУЛЬТУРНОГО НАСЛЕДИЯ ФЕДЕРАЛЬНОГО ЗНАЧЕНИЯ "ЦЕРКОВЬ ГЕОРГИЯ СО ВЗВОЗА", 1494 Г. (ПСКОВСКАЯ ОБЛАСТЬ), ВКЛЮЧЕННОГО В СПИСОК ВСЕМИРНОГО НАСЛЕДИЯ И ОТНЕСЕННОГО К ОСОБО ЦЕННЫМ ОБЪЕКТАМ КУЛЬТУРНОГО НАСЛЕДИЯ НАРОДОВ РОССИЙСКОЙ ФЕДЕРАЦИИ, ОСОБЫХ РЕЖИМОВ ИСПОЛЬЗОВАНИЯ ЗЕМЕЛЬ И ТРЕБОВАНИЙ К ГРАДОСТРОИТЕЛЬНЫМ РЕГЛАМЕНТАМ В ГРАНИЦАХ ТЕРРИТОРИЙ ДАННЫХ ЗОН"
(Зарегистрировано в Минюсте РФ 13.11.2024 N 80150)
Показывать страниц:
Для качественной печати: PDF-файл документа (5 Мб)
Страница 24 из 39