Министерство Юстиции Российской Федерации
версия для слабовидящих
×
Закрыть
Информация об официальном опубликовании
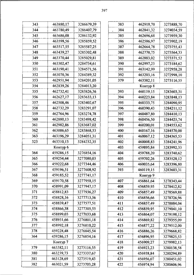
ПРИКАЗ Росавиации от 30.09.2024 N 889-П
"ОБ УСТАНОВЛЕНИИ ПРИАЭРОДРОМНОЙ ТЕРРИТОРИИ АЭРОДРОМА ГРАЖДАНСКОЙ АВИАЦИИ БЛАГОВЕЩЕНСК (ИГНАТЬЕВО)"
(Зарегистрировано в Минюсте РФ 31.10.2024 N 79983)
Показывать страниц:
1
10
100
Для качественной печати:
PDF-файл документа (90 Мб)
<<
<
393
394
395
396
397
398
399
400
401
402
403
>
>>
Страница
398
из
481
<<
<
393
394
395
396
397
398
399
400
401
402
403
>
>>