Министерство Юстиции Российской Федерации
версия для слабовидящих
×
Закрыть
Информация об официальном опубликовании
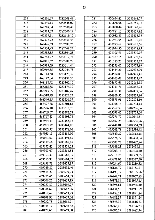
ПРИКАЗ Росавиации от 30.09.2024 N 889-П
"ОБ УСТАНОВЛЕНИИ ПРИАЭРОДРОМНОЙ ТЕРРИТОРИИ АЭРОДРОМА ГРАЖДАНСКОЙ АВИАЦИИ БЛАГОВЕЩЕНСК (ИГНАТЬЕВО)"
(Зарегистрировано в Минюсте РФ 31.10.2024 N 79983)
Показывать страниц:
1
10
100
Для качественной печати:
PDF-файл документа (90 Мб)
<<
<
119
120
121
122
123
124
125
126
127
128
129
>
>>
Страница
124
из
481
<<
<
119
120
121
122
123
124
125
126
127
128
129
>
>>