Министерство Юстиции Российской Федерации
версия для слабовидящих
×
Закрыть
Информация об официальном опубликовании
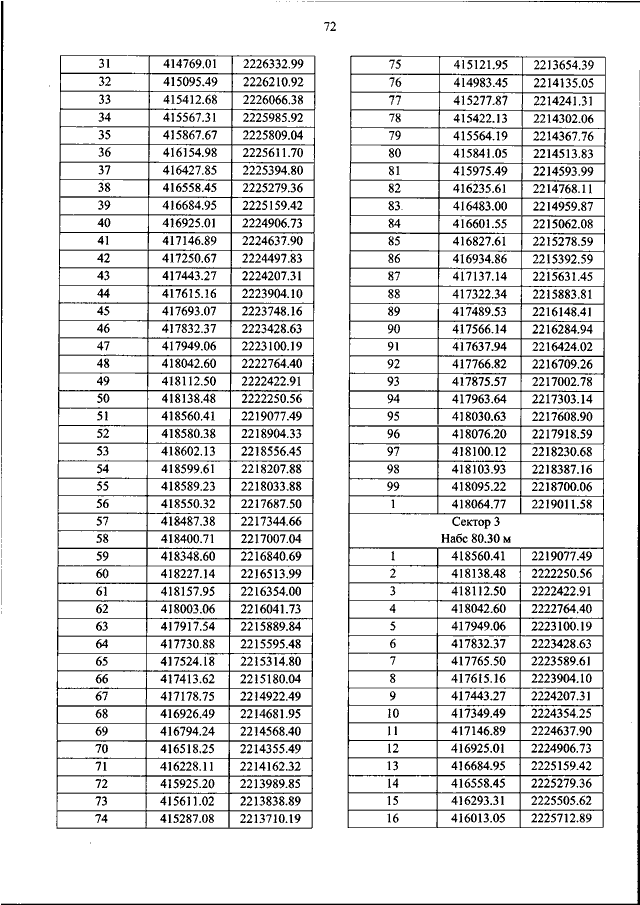
ПРИКАЗ Росавиации от 19.07.2024 N 658-П
"ОБ УСТАНОВЛЕНИИ ПРИАЭРОДРОМНОЙ ТЕРРИТОРИИ АЭРОДРОМА ГРАЖДАНСКОЙ АВИАЦИИ АСТРАХАНЬ (НАРИМАНОВО)"
(Зарегистрировано в Минюсте РФ 20.08.2024 N 79209)
Показывать страниц:
1
10
100
Для качественной печати:
PDF-файл документа (81 Мб)
<<
<
68
69
70
71
72
73
74
75
76
77
78
>
>>
Страница
73
из
266
<<
<
68
69
70
71
72
73
74
75
76
77
78
>
>>