Министерство Юстиции Российской Федерации
версия для слабовидящих
×
Закрыть
Информация об официальном опубликовании
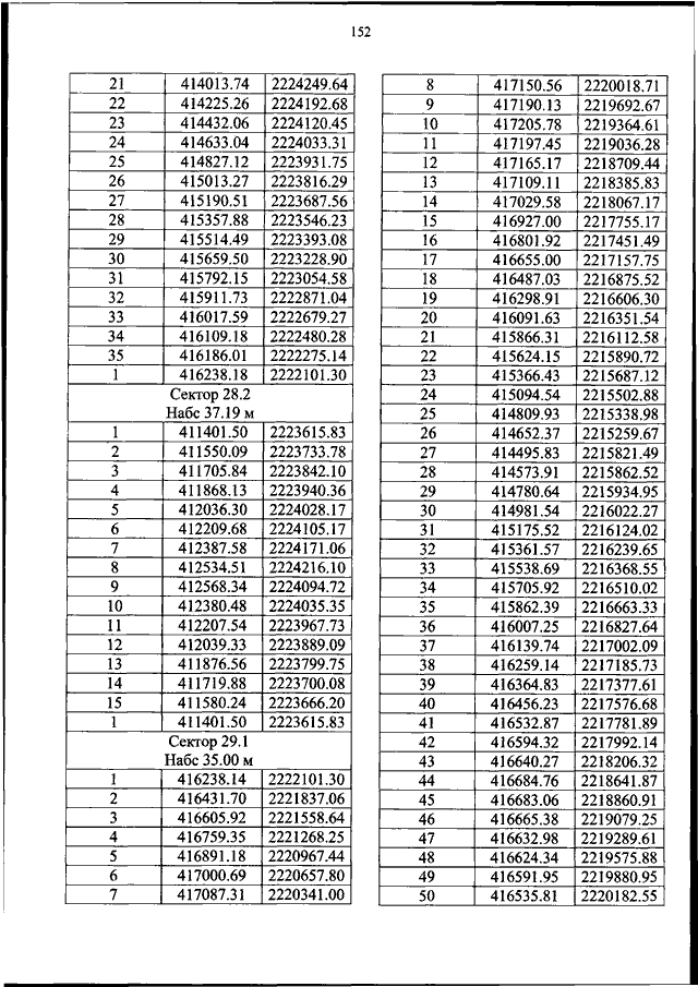
ПРИКАЗ Росавиации от 19.07.2024 N 658-П
"ОБ УСТАНОВЛЕНИИ ПРИАЭРОДРОМНОЙ ТЕРРИТОРИИ АЭРОДРОМА ГРАЖДАНСКОЙ АВИАЦИИ АСТРАХАНЬ (НАРИМАНОВО)"
(Зарегистрировано в Минюсте РФ 20.08.2024 N 79209)
Показывать страниц:
1
10
100
Для качественной печати:
PDF-файл документа (81 Мб)
<<
<
148
149
150
151
152
153
154
155
156
157
158
>
>>
Страница
153
из
266
<<
<
148
149
150
151
152
153
154
155
156
157
158
>
>>