Министерство Юстиции Российской Федерации
версия для слабовидящих
×
Закрыть
Информация об официальном опубликовании
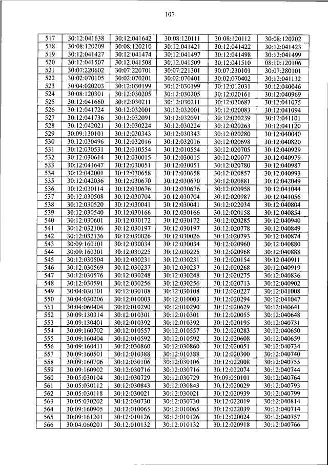
ПРИКАЗ Росавиации от 19.07.2024 N 658-П
"ОБ УСТАНОВЛЕНИИ ПРИАЭРОДРОМНОЙ ТЕРРИТОРИИ АЭРОДРОМА ГРАЖДАНСКОЙ АВИАЦИИ АСТРАХАНЬ (НАРИМАНОВО)"
(Зарегистрировано в Минюсте РФ 20.08.2024 N 79209)
Показывать страниц:
1
10
100
Для качественной печати:
PDF-файл документа (81 Мб)
<<
<
103
104
105
106
107
108
109
110
111
112
113
>
>>
Страница
108
из
266
<<
<
103
104
105
106
107
108
109
110
111
112
113
>
>>