Министерство Юстиции Российской Федерации версия для слабовидящих
ПРИКАЗ Минкультуры РФ от 25.12.2023 N 3484
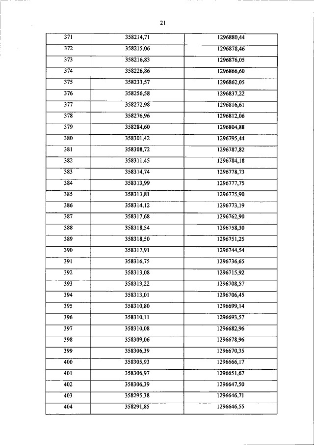
"ОБ УТВЕРЖДЕНИИ ГРАНИЦ ТЕРРИТОРИИ, ПРЕДМЕТА ОХРАНЫ И ТРЕБОВАНИЙ К ГРАДОСТРОИТЕЛЬНЫМ РЕГЛАМЕНТАМ В ГРАНИЦАХ ТЕРРИТОРИИ ИСТОРИЧЕСКОГО ПОСЕЛЕНИЯ ФЕДЕРАЛЬНОГО ЗНАЧЕНИЯ ГОРОД ГАЛИЧ КОСТРОМСКОЙ ОБЛАСТИ"
(Зарегистрировано в Минюсте РФ 17.06.2024 N 78569)
Показывать страниц:
Для качественной печати: PDF-файл документа (390 Мб)
Страница 23 из 345