Министерство Юстиции Российской Федерации
версия для слабовидящих
×
Закрыть
Информация об официальном опубликовании
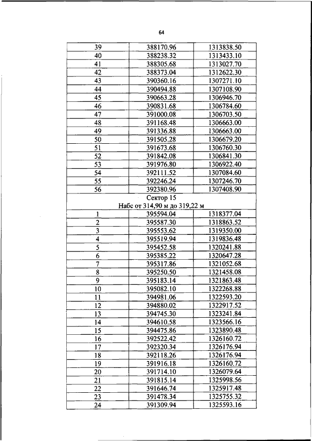
ПРИКАЗ Росавиации от 19.03.2024 N 279-П
"ОБ УСТАНОВЛЕНИИ ПРИАЭРОДРОМНОЙ ТЕРРИТОРИИ АЭРОДРОМА ГРАЖДАНСКОЙ АВИАЦИИ САРАНСК"
(Зарегистрировано в Минюсте РФ 19.04.2024 N 77942)
Показывать страниц:
1
10
100
Для качественной печати:
PDF-файл документа (26 Мб)
<<
<
60
61
62
63
64
65
66
67
68
69
70
>
>>
Страница
65
из
134
<<
<
60
61
62
63
64
65
66
67
68
69
70
>
>>