Министерство Юстиции Российской Федерации
версия для слабовидящих
×
Закрыть
Информация об официальном опубликовании
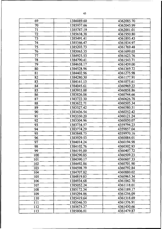
ПРИКАЗ Росавиации от 19.02.2024 N 173-П
"ОБ УСТАНОВЛЕНИИ ПРИАЭРОДРОМНОЙ ТЕРРИТОРИИ АЭРОДРОМА ГРАЖДАНСКОЙ АВИАЦИИ ЕРБОГАЧЕН"
(Зарегистрировано в Минюсте РФ 21.03.2024 N 77578)
Показывать страниц:
1
10
100
Для качественной печати:
PDF-файл документа (38 Мб)
<<
<
39
40
41
42
43
44
45
46
47
48
49
>
>>
Страница
44
из
132
<<
<
39
40
41
42
43
44
45
46
47
48
49
>
>>