Министерство Юстиции Российской Федерации
версия для слабовидящих
×
Закрыть
Информация об официальном опубликовании
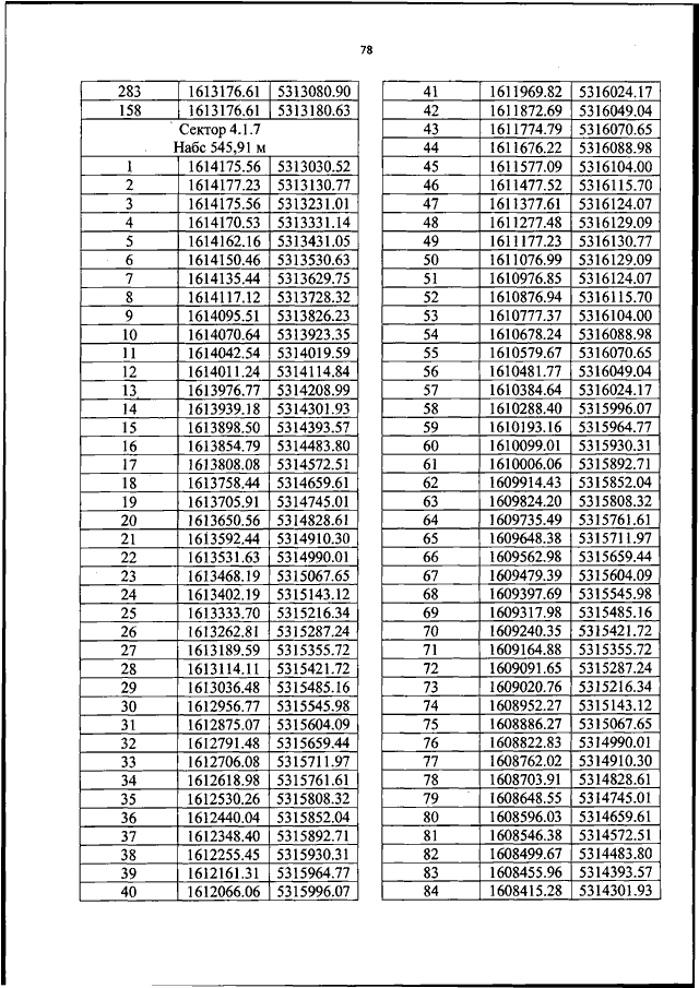
ПРИКАЗ Росавиации от 19.02.2024 N 171-П
"ОБ УСТАНОВЛЕНИИ ПРИАЭРОДРОМНОЙ ТЕРРИТОРИИ АЭРОДРОМА ГРАЖДАНСКОЙ АВИАЦИИ САККЫРЫР"
(Зарегистрировано в Минюсте РФ 20.03.2024 N 77566)
Показывать страниц:
1
10
100
Для качественной печати:
PDF-файл документа (28 Мб)
<<
<
74
75
76
77
78
79
80
81
82
83
84
>
>>
Страница
79
из
118
<<
<
74
75
76
77
78
79
80
81
82
83
84
>
>>