Министерство Юстиции Российской Федерации
версия для слабовидящих
×
Закрыть
Информация об официальном опубликовании
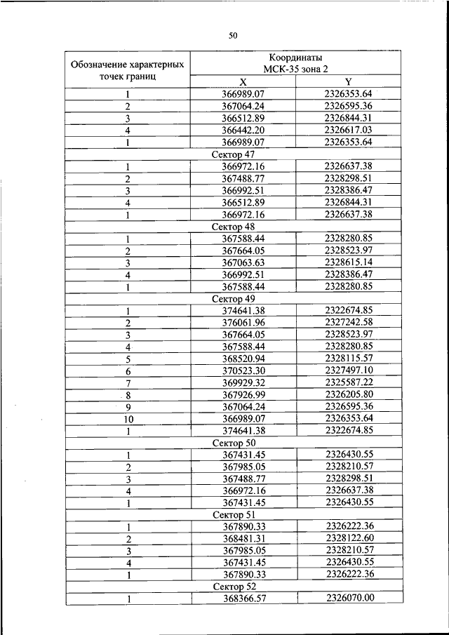
ПРИКАЗ Росавиации от 12.01.2024 N 8-п
"ОБ УСТАНОВЛЕНИИ ПРИАЭРОДРОМНОЙ ТЕРРИТОРИИ АЭРОДРОМА ГРАЖДАНСКОЙ АВИАЦИИ ВОЛОГДА"
(Зарегистрировано в Минюсте РФ 12.02.2024 N 77219)
Показывать страниц:
1
10
100
Для качественной печати:
PDF-файл документа (54 Мб)
<<
<
46
47
48
49
50
51
52
53
54
55
56
>
>>
Страница
51
из
238
<<
<
46
47
48
49
50
51
52
53
54
55
56
>
>>