Министерство Юстиции Российской Федерации
версия для слабовидящих
×
Закрыть
Информация об официальном опубликовании
ПРИКАЗ Росавиации от 12.01.2024 N 8-п
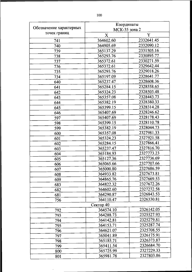
"ОБ УСТАНОВЛЕНИИ ПРИАЭРОДРОМНОЙ ТЕРРИТОРИИ АЭРОДРОМА ГРАЖДАНСКОЙ АВИАЦИИ ВОЛОГДА"
(Зарегистрировано в Минюсте РФ 12.02.2024 N 77219)
Показывать страниц:
1
10
100
Для качественной печати:
PDF-файл документа (54 Мб)
<<
<
96
97
98
99
100
101
102
103
104
105
106
>
>>
Страница
101
из
238
<<
<
96
97
98
99
100
101
102
103
104
105
106
>
>>