Министерство Юстиции Российской Федерации
версия для слабовидящих
×
Закрыть
Информация об официальном опубликовании
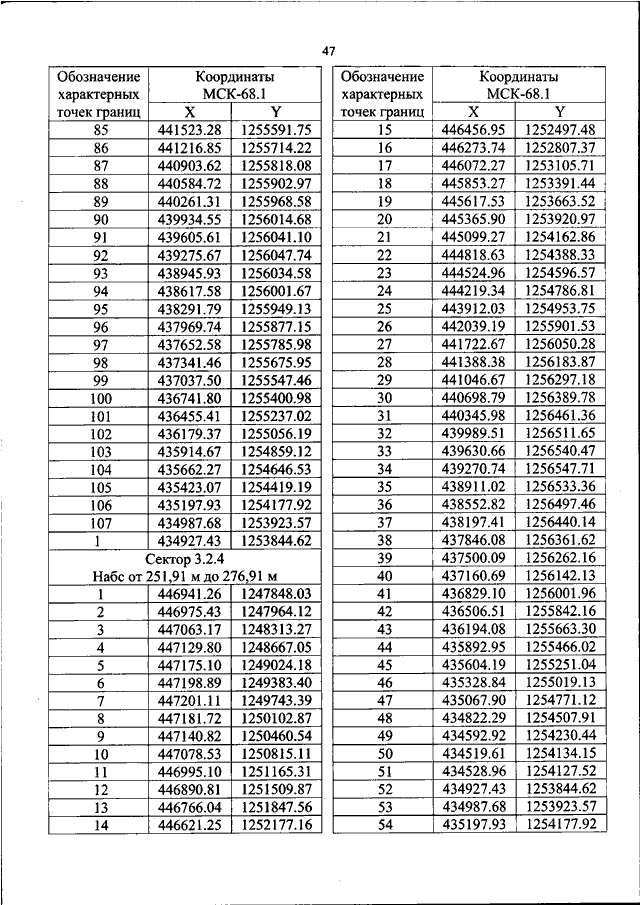
ПРИКАЗ Росавиации от 07.12.2023 N 1113-П
"ОБ УСТАНОВЛЕНИИ ПРИАЭРОДРОМНОЙ ТЕРРИТОРИИ АЭРОДРОМА ГРАЖДАНСКОЙ АВИАЦИИ ТАМБОВ (ДОНСКОЕ)"
(Зарегистрировано в Минюсте РФ 29.12.2023 N 76744)
Показывать страниц:
1
10
100
Для качественной печати:
PDF-файл документа (55 Мб)
<<
<
43
44
45
46
47
48
49
50
51
52
53
>
>>
Страница
48
из
155
<<
<
43
44
45
46
47
48
49
50
51
52
53
>
>>