Министерство Юстиции Российской Федерации
версия для слабовидящих
×
Закрыть
Информация об официальном опубликовании
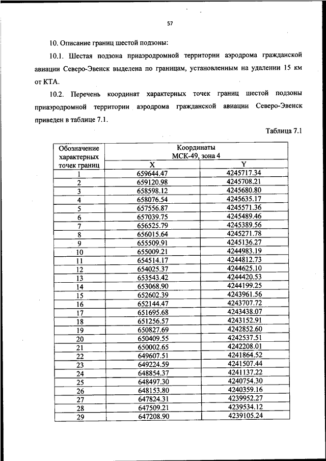
ПРИКАЗ Росавиации от 13.12.2023 N 1141-П
"ОБ УСТАНОВЛЕНИИ ПРИАЭРОДРОМНОЙ ТЕРРИТОРИИ АЭРОДРОМА ГРАЖДАНСКОЙ АВИАЦИИ СЕВЕРО-ЭВЕНСК"
(Зарегистрировано в Минюсте РФ 29.12.2023 N 76734)
Показывать страниц:
1
10
100
Для качественной печати:
PDF-файл документа (19 Мб)
<<
<
53
54
55
56
57
58
59
60
61
62
63
>
>>
Страница
58
из
78
<<
<
53
54
55
56
57
58
59
60
61
62
63
>
>>