Министерство Юстиции Российской Федерации
версия для слабовидящих
×
Закрыть
Информация об официальном опубликовании
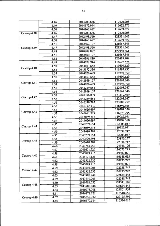
ПРИКАЗ Росавиации от 13.12.2023 N 1140-П
"ОБ УСТАНОВЛЕНИИ ПРИАЭРОДРОМНОЙ ТЕРРИТОРИИ АЭРОДРОМА ГРАЖДАНСКОЙ АВИАЦИИ НОРИЛЬСК (АЛЫКЕЛЬ)"
(Зарегистрировано в Минюсте РФ 28.12.2023 N 76722)
Показывать страниц:
1
10
100
Для качественной печати:
PDF-файл документа (45 Мб)
<<
<
48
49
50
51
52
53
54
55
56
57
58
>
>>
Страница
53
из
82
<<
<
48
49
50
51
52
53
54
55
56
57
58
>
>>