Министерство Юстиции Российской Федерации
версия для слабовидящих
×
Закрыть
Информация об официальном опубликовании
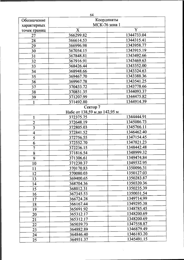
ПРИКАЗ Росавиации от 23.11.2023 N 1062-П
"ОБ УСТАНОВЛЕНИИ ПРИАЭРОДРОМНОЙ ТЕРРИТОРИИ АЭРОДРОМА ГРАЖДАНСКОЙ АВИАЦИИ ЯРОСЛАВЛЬ (ТУНОШНА)"
(Зарегистрировано в Минюсте РФ 25.12.2023 N 76603)
Показывать страниц:
1
10
100
Для качественной печати:
PDF-файл документа (22 Мб)
<<
<
60
61
62
63
64
65
66
67
68
69
70
>
>>
Страница
65
из
110
<<
<
60
61
62
63
64
65
66
67
68
69
70
>
>>