Министерство Юстиции Российской Федерации
версия для слабовидящих
×
Закрыть
Информация об официальном опубликовании
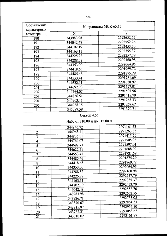
ПРИКАЗ Росавиации от 01.11.2023 N 981-П
"ОБ УСТАНОВЛЕНИИ ПРИАЭРОДРОМНОЙ ТЕРРИТОРИИ АЭРОДРОМА ГРАЖДАНСКОЙ АВИАЦИИ ЮЖНО-КУРИЛЬСК (МЕНДЕЛЕЕВО)"
(Зарегистрировано в Минюсте РФ 07.12.2023 N 76310)
Показывать страниц:
1
10
100
Для качественной печати:
PDF-файл документа (87 Мб)
<<
<
521
522
523
524
525
526
527
528
529
530
531
>
>>
Страница
526
из
756
<<
<
521
522
523
524
525
526
527
528
529
530
531
>
>>