Министерство Юстиции Российской Федерации
версия для слабовидящих
×
Закрыть
Информация об официальном опубликовании
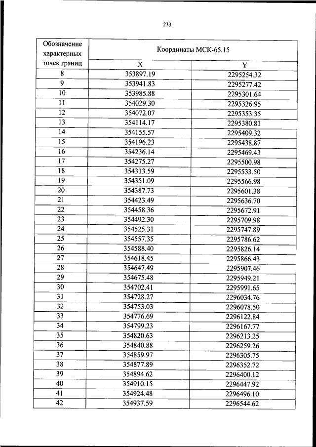
ПРИКАЗ Росавиации от 01.11.2023 N 981-П
"ОБ УСТАНОВЛЕНИИ ПРИАЭРОДРОМНОЙ ТЕРРИТОРИИ АЭРОДРОМА ГРАЖДАНСКОЙ АВИАЦИИ ЮЖНО-КУРИЛЬСК (МЕНДЕЛЕЕВО)"
(Зарегистрировано в Минюсте РФ 07.12.2023 N 76310)
Показывать страниц:
1
10
100
Для качественной печати:
PDF-файл документа (87 Мб)
<<
<
230
231
232
233
234
235
236
237
238
239
240
>
>>
Страница
235
из
756
<<
<
230
231
232
233
234
235
236
237
238
239
240
>
>>