Министерство Юстиции Российской Федерации
версия для слабовидящих
×
Закрыть
Информация об официальном опубликовании
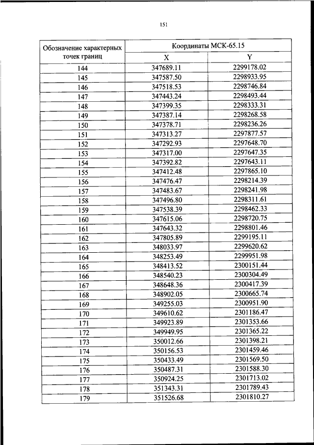
ПРИКАЗ Росавиации от 01.11.2023 N 981-П
"ОБ УСТАНОВЛЕНИИ ПРИАЭРОДРОМНОЙ ТЕРРИТОРИИ АЭРОДРОМА ГРАЖДАНСКОЙ АВИАЦИИ ЮЖНО-КУРИЛЬСК (МЕНДЕЛЕЕВО)"
(Зарегистрировано в Минюсте РФ 07.12.2023 N 76310)
Показывать страниц:
1
10
100
Для качественной печати:
PDF-файл документа (87 Мб)
<<
<
148
149
150
151
152
153
154
155
156
157
158
>
>>
Страница
153
из
756
<<
<
148
149
150
151
152
153
154
155
156
157
158
>
>>