Министерство Юстиции Российской Федерации
версия для слабовидящих
×
Закрыть
Информация об официальном опубликовании
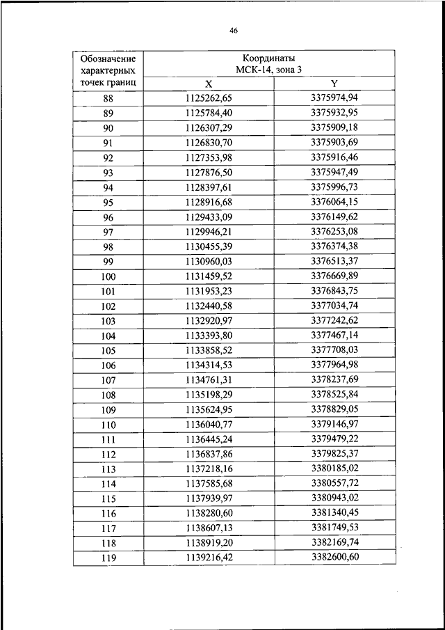
ПРИКАЗ Росавиации от 24.10.2023 N 930-П
"ОБ УСТАНОВЛЕНИИ ПРИАЭРОДРОМНОЙ ТЕРРИТОРИИ АЭРОДРОМА ГРАЖДАНСКОЙ АВИАЦИИ ВЕРХНЕВИЛЮЙСК"
(Зарегистрировано в Минюсте РФ 22.11.2023 N 76051)
Показывать страниц:
1
10
100
Для качественной печати:
PDF-файл документа (18 Мб)
<<
<
42
43
44
45
46
47
48
49
50
51
52
>
>>
Страница
47
из
59
<<
<
42
43
44
45
46
47
48
49
50
51
52
>
>>