Министерство Юстиции Российской Федерации
версия для слабовидящих
×
Закрыть
Информация об официальном опубликовании
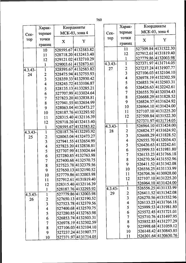
ПРИКАЗ Росавиации от 28.07.2023 N 595-П (Начало)
"ОБ УСТАНОВЛЕНИИ ПРИАЭРОДРОМНОЙ ТЕРРИТОРИИ АЭРОДРОМА ГРАЖДАНСКОЙ АВИАЦИИ УЛАН-УДЭ (МУХИНО)"
(Зарегистрировано в Минюсте РФ 29.08.2023 N 74994)
Показывать страниц:
1
10
100
Для качественной печати:
PDF-файл документа (95 Мб)
<<
<
756
757
758
759
760
761
762
763
764
765
766
>
>>
Страница
761
из
900
<<
<
756
757
758
759
760
761
762
763
764
765
766
>
>>