Министерство Юстиции Российской Федерации
версия для слабовидящих
×
Закрыть
Информация об официальном опубликовании
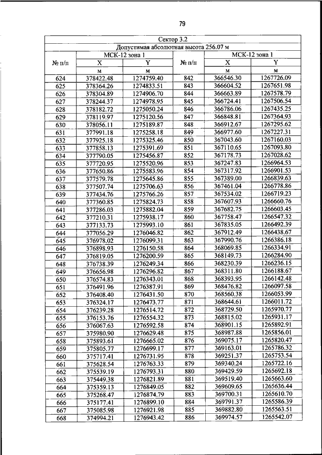
ПРИКАЗ Росавиации от 21.02.2023 N 89-П
"ОБ УСТАНОВЛЕНИИ ПРИАЭРОДРОМНОЙ ТЕРРИТОРИИ АЭРОДРОМА ГРАЖДАНСКОЙ АВИАЦИИ ЙОШКАР-ОЛА"
(Зарегистрировано в Минюсте РФ 07.04.2023 N 72928)
Показывать страниц:
1
10
100
Для качественной печати:
PDF-файл документа (55 Мб)
<<
<
75
76
77
78
79
80
81
82
83
84
85
>
>>
Страница
80
из
629
<<
<
75
76
77
78
79
80
81
82
83
84
85
>
>>