Министерство Юстиции Российской Федерации версия для слабовидящих
ПРИКАЗ Минюста РФ от 29.01.2019 N 16
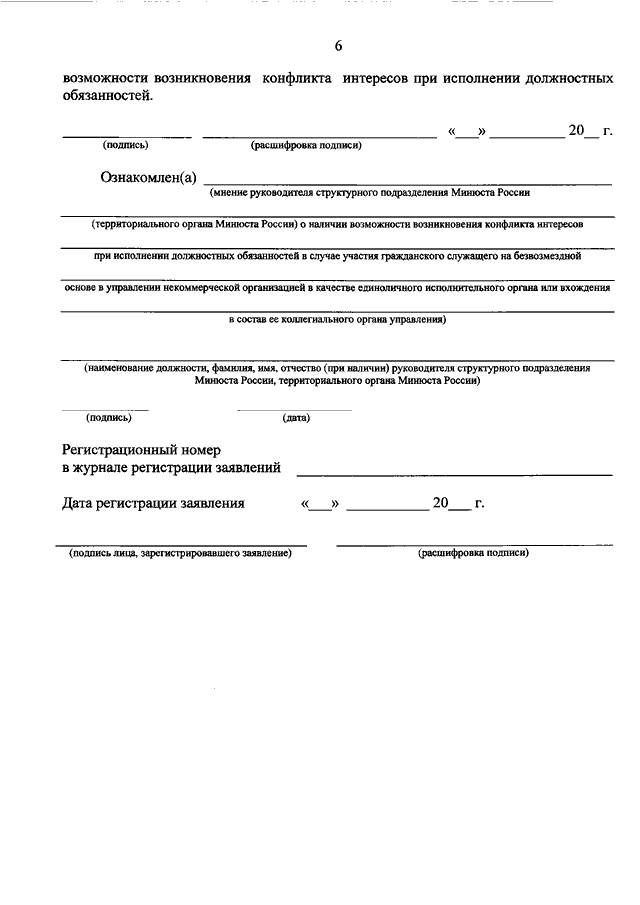
"ОБ УТВЕРЖДЕНИИ ПОРЯДКА ПОЛУЧЕНИЯ ФЕДЕРАЛЬНЫМИ ГОСУДАРСТВЕННЫМИ ГРАЖДАНСКИМИ СЛУЖАЩИМИ МИНИСТЕРСТВА ЮСТИЦИИ РОССИЙСКОЙ ФЕДЕРАЦИИ И ЕГО ТЕРРИТОРИАЛЬНЫХ ОРГАНОВ РАЗРЕШЕНИЯ ПРЕДСТАВИТЕЛЯ НАНИМАТЕЛЯ НА УЧАСТИЕ НА БЕЗВОЗМЕЗДНОЙ ОСНОВЕ В УПРАВЛЕНИИ НЕКОММЕРЧЕСКИМИ ОРГАНИЗАЦИЯМИ"
(Зарегистрировано в Минюсте РФ 01.02.2019 N 53655)
Показывать страниц:
Для качественной печати: PDF-файл документа (548 Кб)
Страница 7 из 8