Министерство Юстиции Российской Федерации версия для слабовидящих
ПРИКАЗ Минтруда РФ от 20.12.2018 N 827н
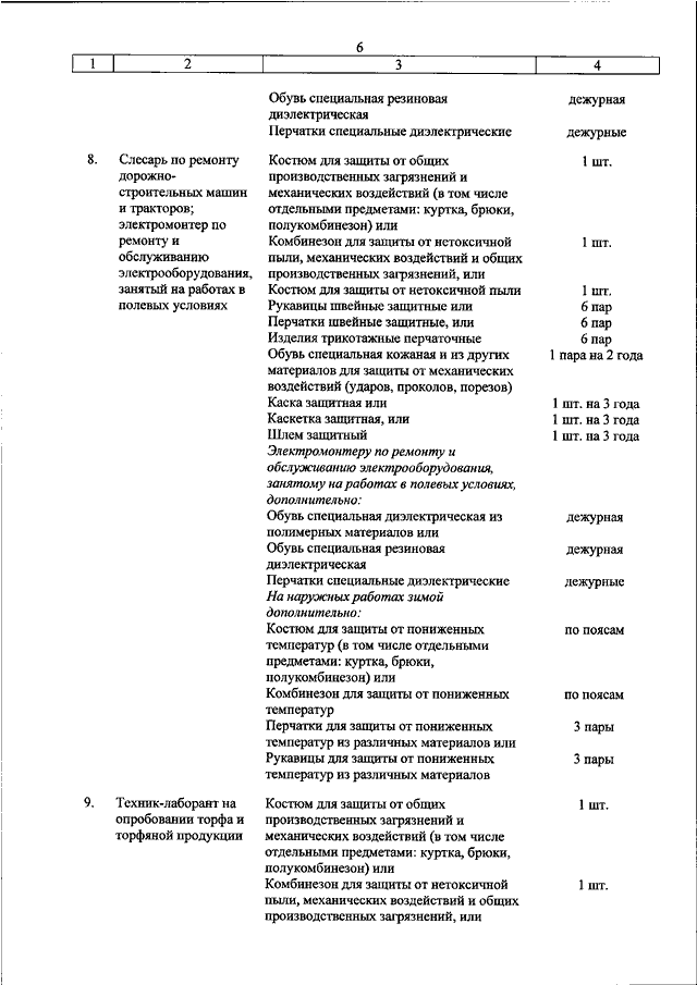
"ОБ УТВЕРЖДЕНИИ ТИПОВЫХ НОРМ БЕСПЛАТНОЙ ВЫДАЧИ СПЕЦИАЛЬНОЙ ОДЕЖДЫ, СПЕЦИАЛЬНОЙ ОБУВИ И ДРУГИХ СРЕДСТВ ИНДИВИДУАЛЬНОЙ ЗАЩИТЫ РАБОТНИКАМ ТОРФОЗАГОТОВИТЕЛЬНЫХ И ТОРФОПЕРЕРАБАТЫВАЮЩИХ ОРГАНИЗАЦИЙ, ЗАНЯТЫМ НА РАБОТАХ С ВРЕДНЫМИ И (ИЛИ) ОПАСНЫМИ УСЛОВИЯМИ ТРУДА, А ТАКЖЕ НА РАБОТАХ, ВЫПОЛНЯЕМЫХ В ОСОБЫХ ТЕМПЕРАТУРНЫХ УСЛОВИЯХ ИЛИ СВЯЗАННЫХ С ЗАГРЯЗНЕНИЕМ"
(Зарегистрировано в Минюсте РФ 14.01.2019 N 53350)
Показывать страниц:
Для качественной печати: PDF-файл документа (897 Кб)
Страница 7 из 16