Министерство Юстиции Российской Федерации
версия для слабовидящих
×
Закрыть
Информация об официальном опубликовании
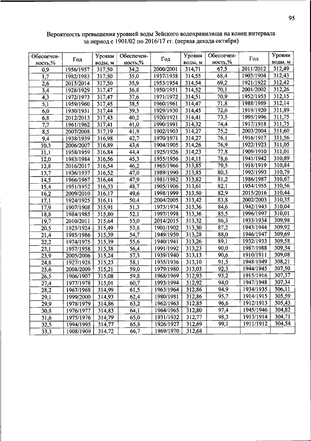
ПРИКАЗ Росводресурсов от 18.07.2018 N 151
"ОБ УТВЕРЖДЕНИИ ПРАВИЛ ИСПОЛЬЗОВАНИЯ ВОДНЫХ РЕСУРСОВ ЗЕЙСКОГО ВОДОХРАНИЛИЩА НА Р. ЗЕЕ"
(Зарегистрировано в Минюсте РФ 27.08.2018 N 52010)
Показывать страниц:
1
10
100
Для качественной печати:
PDF-файл документа (41 Мб)
<<
<
450
451
452
453
454
455
456
457
458
459
460
>
>>
Страница
455
из
637
<<
<
450
451
452
453
454
455
456
457
458
459
460
>
>>