Министерство Юстиции Российской Федерации
версия для слабовидящих
×
Закрыть
Информация об официальном опубликовании
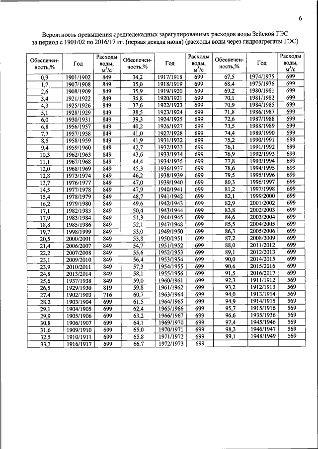
ПРИКАЗ Росводресурсов от 18.07.2018 N 151
"ОБ УТВЕРЖДЕНИИ ПРАВИЛ ИСПОЛЬЗОВАНИЯ ВОДНЫХ РЕСУРСОВ ЗЕЙСКОГО ВОДОХРАНИЛИЩА НА Р. ЗЕЕ"
(Зарегистрировано в Минюсте РФ 27.08.2018 N 52010)
Показывать страниц:
1
10
100
Для качественной печати:
PDF-файл документа (41 Мб)
<<
<
362
363
364
365
366
367
368
369
370
371
372
>
>>
Страница
367
из
637
<<
<
362
363
364
365
366
367
368
369
370
371
372
>
>>