Министерство Юстиции Российской Федерации
версия для слабовидящих
×
Закрыть
Информация об официальном опубликовании
ПРИКАЗ Росводресурсов от 18.07.2018 N 151
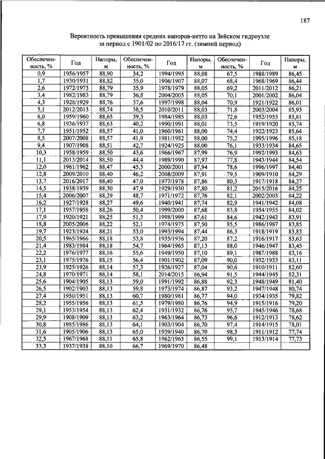
"ОБ УТВЕРЖДЕНИИ ПРАВИЛ ИСПОЛЬЗОВАНИЯ ВОДНЫХ РЕСУРСОВ ЗЕЙСКОГО ВОДОХРАНИЛИЩА НА Р. ЗЕЕ"
(Зарегистрировано в Минюсте РФ 27.08.2018 N 52010)
Показывать страниц:
1
10
100
Для качественной печати:
PDF-файл документа (41 Мб)
<<
<
241
242
243
244
245
246
247
248
249
250
251
>
>>
Страница
246
из
637
<<
<
241
242
243
244
245
246
247
248
249
250
251
>
>>