Размер шрифта
Цвета сайта
Настройки
Обычная версия
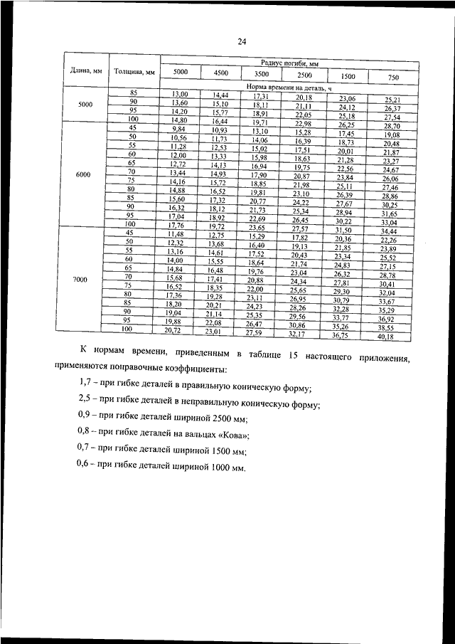
ПРИКАЗ Минпромторга РФ от 29.12.2025 N 6743
"ОБ УТВЕРЖДЕНИИ ТИПОВЫХ ОТРАСЛЕВЫХ НОРМ ВРЕМЕНИ НА ВЫПОЛНЕНИЕ РАБОТ ПО СТРОИТЕЛЬСТВУ КОРАБЛЕЙ, СУДОВ И ПЛАВУЧИХ КОНСТРУКЦИЙ (ЕДИНИЧНОЕ И МЕЛКОСЕРИЙНОЕ ПРОИЗВОДСТВО)"
(Зарегистрировано в Минюсте РФ 16.01.2026 N 84949)
Показывать страниц:
Для качественной печати: PDF-файл документа (19 Мб)
Страница 47 из 480