Размер шрифта
Цвета сайта
Настройки
Интервал между буквами
(Кернинг)
:
Стандартный
Средний
Большой
Выбор цветовой схемы:
Черным по белому
Белым по черному
Темно-синим по голубому
Закрыть панель
Обычная версия
Министерство юстиции Российской Федерации
версия для слабовидящих
×
Закрыть
Информация об официальном опубликовании
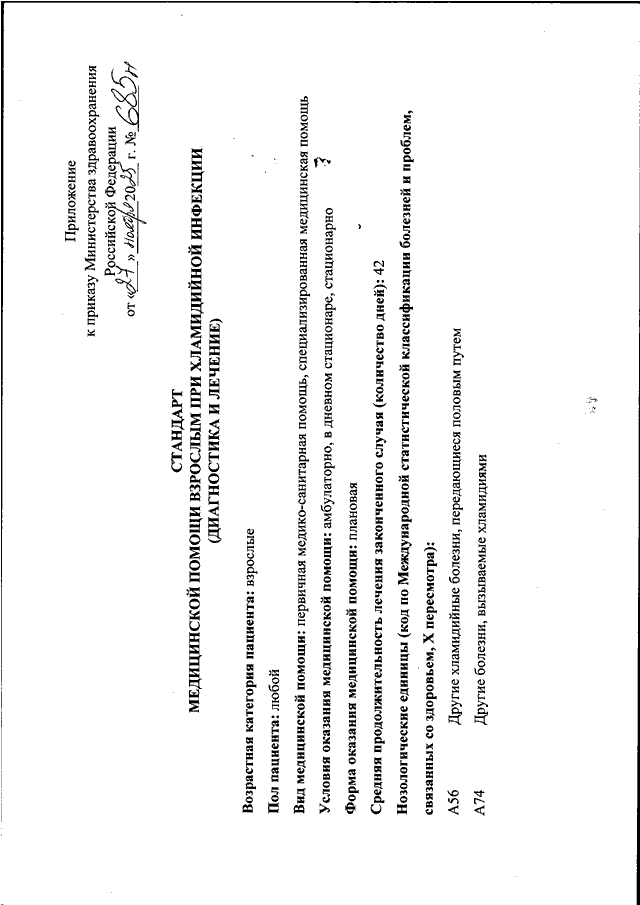
ПРИКАЗ Минздрава РФ от 27.11.2025 N 685н
"ОБ УТВЕРЖДЕНИИ СТАНДАРТА МЕДИЦИНСКОЙ ПОМОЩИ ВЗРОСЛЫМ ПРИ ХЛАМИДИЙНОЙ ИНФЕКЦИИ (ДИАГНОСТИКА И ЛЕЧЕНИЕ)"
(Зарегистрировано в Минюсте РФ 26.12.2025 N 84798)
Показывать страниц:
1
10
100
Для качественной печати:
PDF-файл документа (341 Кб)
<<
<
1
2
3
4
5
6
7
8
>
>>
Страница
2
из
8
<<
<
1
2
3
4
5
6
7
8
>
>>