Размер шрифта
Цвета сайта
Настройки
Обычная версия
ПРИКАЗ ФССП РФ от 25.11.2025 N 617
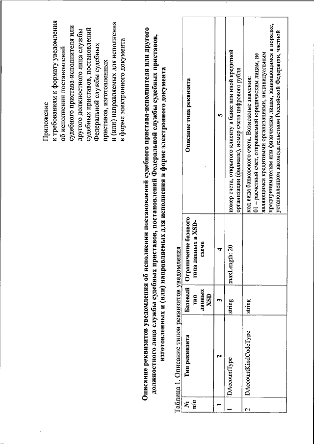
"ОБ УСТАНОВЛЕНИИ ТРЕБОВАНИЙ К ФОРМАТУ УВЕДОМЛЕНИЯ ОБ ИСПОЛНЕНИИ ПОСТАНОВЛЕНИЙ СУДЕБНОГО ПРИСТАВА - ИСПОЛНИТЕЛЯ ИЛИ ДРУГОГО ДОЛЖНОСТНОГО ЛИЦА СЛУЖБЫ СУДЕБНЫХ ПРИСТАВОВ, ПОСТАНОВЛЕНИЙ ФЕДЕРАЛЬНОЙ СЛУЖБЫ СУДЕБНЫХ ПРИСТАВОВ, ИЗГОТОВЛЕННЫХ И (ИЛИ) НАПРАВЛЯЕМЫХ ДЛЯ ИСПОЛНЕНИЯ В ФОРМЕ ЭЛЕКТРОННОГО ДОКУМЕНТА"
(Зарегистрировано в Минюсте РФ 25.12.2025 N 84789)
Показывать страниц:
Для качественной печати: PDF-файл документа (995 Кб)
Страница 4 из 20