Размер шрифта
Цвета сайта
Настройки
Обычная версия
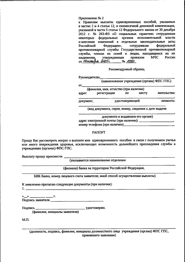
ПРИКАЗ МЧС РФ от 14.11.2025 N 1050
"ОБ УТВЕРЖДЕНИИ ПРАВИЛ ВЫПЛАТЫ ЕДИНОВРЕМЕННЫХ ПОСОБИЙ, УКАЗАННЫХ В ЧАСТЯХ 2 И 4 СТАТЬИ 12, И ЕЖЕМЕСЯЧНОЙ ДЕНЕЖНОЙ КОМПЕНСАЦИИ, УКАЗАННОЙ В ЧАСТИ 5 СТАТЬИ 12 ФЕДЕРАЛЬНОГО ЗАКОНА ОТ 30 ДЕКАБРЯ 2012 Г. N 283-ФЗ "О СОЦИАЛЬНЫХ ГАРАНТИЯХ СОТРУДНИКАМ НЕКОТОРЫХ ФЕДЕРАЛЬНЫХ ОРГАНОВ ИСПОЛНИТЕЛЬНОЙ ВЛАСТИ И ВНЕСЕНИИ ИЗМЕНЕНИЙ В ОТДЕЛЬНЫЕ ЗАКОНОДАТЕЛЬНЫЕ АКТЫ РОССИЙСКОЙ ФЕДЕРАЦИИ", СОТРУДНИКАМ ФЕДЕРАЛЬНОЙ ПРОТИВОПОЖАРНОЙ СЛУЖБЫ ГОСУДАРСТВЕННОЙ ПРОТИВОПОЖАРНОЙ СЛУЖБЫ, ЧЛЕНАМ ИХ СЕМЕЙ И ЛИЦАМ, НАХОДЯЩИМСЯ НА ИХ ИЖДИВЕНИИ"
(Зарегистрировано в Минюсте РФ 11.12.2025 N 84557)
Показывать страниц:
Для качественной печати: PDF-файл документа (770 Кб)
Страница 12 из 13