Размер шрифта
Цвета сайта
Настройки
Обычная версия
ПРИКАЗ Минтранса РФ от 27.10.2025 N 352
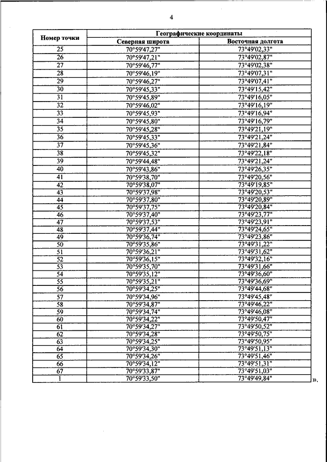
"ОБ ОТКРЫТИИ МОРСКОГО ГРУЗОВОГО ПОСТОЯННОГО МНОГОСТОРОННЕГО ПУНКТА ПРОПУСКА ЧЕРЕЗ ГОСУДАРСТВЕННУЮ ГРАНИЦУ РОССИЙСКОЙ ФЕДЕРАЦИИ В МОРСКОМ ПОРТУ САБЕТТА (ЯМАЛО - НЕНЕЦКИЙ АВТОНОМНЫЙ ОКРУГ), РЕКОНСТРУИРОВАННОГО В РАМКАХ IV И V ЭТАПОВ, И О ВНЕСЕНИИ ИЗМЕНЕНИЙ В ПРЕДЕЛЫ МОРСКОГО ГРУЗОВОГО ПОСТОЯННОГО МНОГОСТОРОННЕГО ПУНКТА ПРОПУСКА ЧЕРЕЗ ГОСУДАРСТВЕННУЮ ГРАНИЦУ РОССИЙСКОЙ ФЕДЕРАЦИИ В МОРСКОМ ПОРТУ САБЕТТА (ЯМАЛО - НЕНЕЦКИЙ АВТОНОМНЫЙ ОКРУГ), УТВЕРЖДЕННЫЕ ПРИКАЗОМ МИНИСТЕРСТВА ТРАНСПОРТА РОССИЙСКОЙ ФЕДЕРАЦИИ ОТ 17 ДЕКАБРЯ 2018 Г. N 454"
(Зарегистрировано в Минюсте РФ 25.11.2025 N 84263)
Показывать страниц:
Для качественной печати: PDF-файл документа (321 Кб)
Страница 6 из 6