Размер шрифта
Цвета сайта
Настройки
Обычная версия
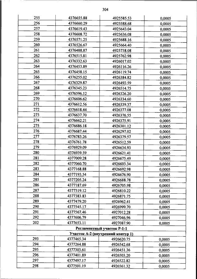
ПРИКАЗ Минкультуры РФ от 12.11.2025 N 2049
"ОБ УТВЕРЖДЕНИИ ТРЕБОВАНИЙ К ОСУЩЕСТВЛЕНИЮ ДЕЯТЕЛЬНОСТИ И ГРАДОСТРОИТЕЛЬНОМУ РЕГЛАМЕНТУ В ГРАНИЦАХ ТЕРРИТОРИИ ОБЪЕКТА КУЛЬТУРНОГО НАСЛЕДИЯ (ПАМЯТНИКА ИСТОРИИ И КУЛЬТУРЫ) НАРОДОВ РОССИЙСКОЙ ФЕДЕРАЦИИ ФЕДЕРАЛЬНОГО ЗНАЧЕНИЯ - ДОСТОПРИМЕЧАТЕЛЬНОЕ МЕСТО "ДРЕВНИЙ ГОРОД ХЕРСОНЕС ТАВРИЧЕСКИЙ И КРЕПОСТИ ЧЕМБАЛО И КАЛАМИТА", РАСПОЛОЖЕННОГО В ГОРОДЕ СЕВАСТОПОЛЕ"
(Зарегистрировано в Минюсте РФ 08.12.2025 N 84476)
Показывать страниц:
Для качественной печати: PDF-файл документа (1552 Мб)
Страница 304 из 910