Размер шрифта
Цвета сайта
Настройки
Обычная версия
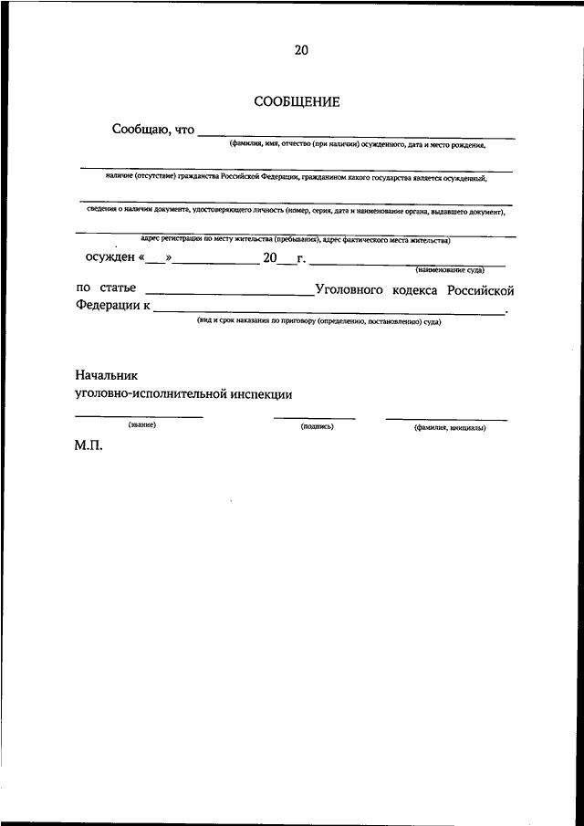
ПРИКАЗ Минюста РФ от 19.01.2026 N 6
"ОБ ОРГАНИЗАЦИИ ИСПОЛНЕНИЯ НАКАЗАНИЙ В ВИДЕ ОБЯЗАТЕЛЬНЫХ РАБОТ, ЛИШЕНИЯ ПРАВА ЗАНИМАТЬ ОПРЕДЕЛЕННЫЕ ДОЛЖНОСТИ ИЛИ ЗАНИМАТЬСЯ ОПРЕДЕЛЕННОЙ ДЕЯТЕЛЬНОСТЬЮ, ИСПРАВИТЕЛЬНЫХ РАБОТ, КОНТРОЛЯ ЗА ПОВЕДЕНИЕМ ОСУЖДЕННЫХ, К КОТОРЫМ ПРИМЕНЕНА ОТСРОЧКА ОТБЫВАНИЯ НАКАЗАНИЯ, УСЛОВНО ОСУЖДЕННЫХ"
(Зарегистрировано в Минюсте РФ 20.01.2026 N 84974)
Показывать страниц:
Для качественной печати: PDF-файл документа (8 Мб)
Страница 105 из 226