Размер шрифта
Цвета сайта
Настройки
Обычная версия
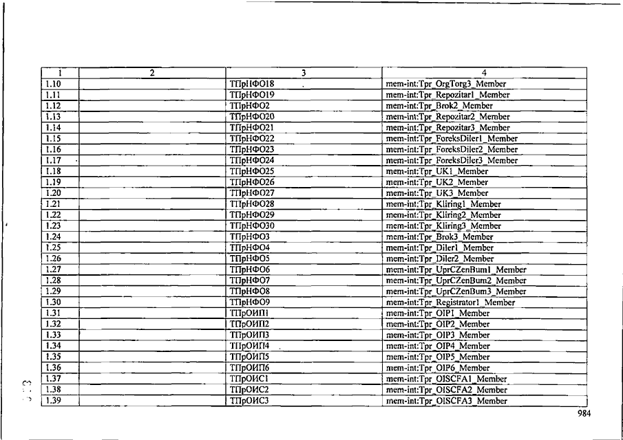
УКАЗАНИЕ ЦБ РФ от 30.06.2025 N 7119-У (Окончание)
"О ФОРМАХ, СРОКАХ И ПОРЯДКЕ СОСТАВЛЕНИЯ И ПРЕДСТАВЛЕНИЯ В БАНК РОССИИ ОТЧЕТНОСТИ ПРОФЕССИОНАЛЬНЫХ УЧАСТНИКОВ РЫНКА ЦЕННЫХ БУМАГ, ОБ ОБЪЕМЕ, ФОРМАХ, СРОКАХ И ПОРЯДКЕ СОСТАВЛЕНИЯ И ПРЕДСТАВЛЕНИЯ В БАНК РОССИИ ОТЧЕТОВ ОРГАНИЗАТОРОВ ТОРГОВЛИ И КЛИРИНГОВЫХ ОРГАНИЗАЦИЙ, А ТАКЖЕ О ПОРЯДКЕ СООБЩЕНИЯ ПРОФЕССИОНАЛЬНЫМИ УЧАСТНИКАМИ РЫНКА ЦЕННЫХ БУМАГ БАНКУ РОССИИ ИНФОРМАЦИИ О ЛИЦАХ, КОТОРЫМ ПОРУЧЕНО ПРОВЕДЕНИЕ ИДЕНТИФИКАЦИИ, УПРОЩЕННОЙ ИДЕНТИФИКАЦИИ, ОБНОВЛЕНИЕ ИНФОРМАЦИИ О КЛИЕНТАХ, ПРЕДСТАВИТЕЛЯХ КЛИЕНТОВ, ВЫГОДОПРЕОБРЕТАТЕЛЯХ И БЕНЕФИЦИАРНЫХ ВЛАДЕЛЬЦАХ"
(Зарегистрировано в Минюсте РФ 26.11.2025 N 84279)
Показывать страниц:
Для качественной печати: PDF-файл документа (17 Мб)
Страница 67 из 287