Размер шрифта
Цвета сайта
Настройки
Интервал между буквами
(Кернинг)
:
Стандартный
Средний
Большой
Выбор цветовой схемы:
Черным по белому
Белым по черному
Темно-синим по голубому
Закрыть панель
Обычная версия
Министерство юстиции Российской Федерации
версия для слабовидящих
×
Закрыть
Информация об официальном опубликовании
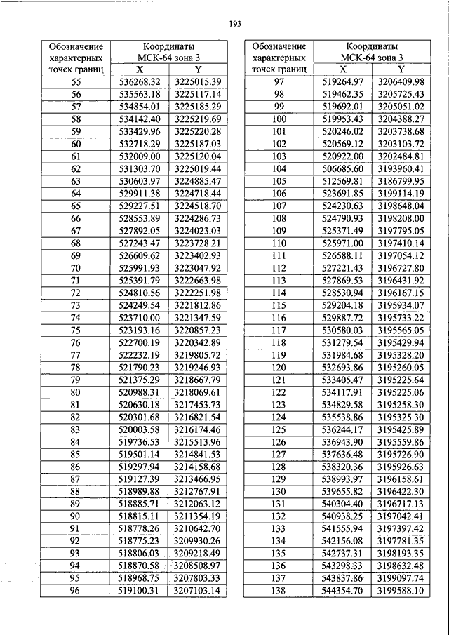
ПРИКАЗ Росавиации от 29.09.2025 N 729-П
"ОБ УСТАНОВЛЕНИИ ПРИАЭРОДРОМНОЙ ТЕРРИТОРИИ АЭРОДРОМА ГРАЖДАНСКОЙ АВИАЦИИ БАЛАКОВО"
(Зарегистрировано в Минюсте РФ 25.11.2025 N 84261)
Показывать страниц:
1
10
100
Для качественной печати:
PDF-файл документа (97 Мб)
<<
<
189
190
191
192
193
194
195
196
197
198
199
>
>>
Страница
194
из
228
<<
<
189
190
191
192
193
194
195
196
197
198
199
>
>>