Размер шрифта
Цвета сайта
Настройки
Интервал между буквами
(Кернинг)
:
Стандартный
Средний
Большой
Выбор цветовой схемы:
Черным по белому
Белым по черному
Темно-синим по голубому
Закрыть панель
Обычная версия
Министерство юстиции Российской Федерации
версия для слабовидящих
×
Закрыть
Информация об официальном опубликовании
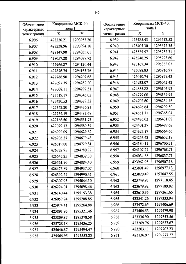
ПРИКАЗ Росавиации от 12.04.2024 N 377-П
"ОБ УСТАНОВЛЕНИИ ПРИАЭРОДРОМНОЙ ТЕРРИТОРИИ АЭРОДРОМА ГРАЖДАНСКОЙ АВИАЦИИ КАЛУГА (ГРАБЦЕВО)"
(Зарегистрировано в Минюсте РФ 20.05.2024 N 78206)
Показывать страниц:
1
10
100
Для качественной печати:
PDF-файл документа (79 Мб)
<<
<
136
137
138
139
140
141
142
143
144
145
146
>
>>
Страница
141
из
380
<<
<
136
137
138
139
140
141
142
143
144
145
146
>
>>