Министерство Юстиции Российской Федерации
версия для слабовидящих
×
Закрыть
Информация об официальном опубликовании
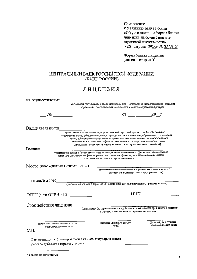
УКАЗАНИЕ ЦБ РФ от 23.04.2014 N 3238-У
"ОБ УСТАНОВЛЕНИИ ФОРМЫ БЛАНКА ЛИЦЕНЗИИ НА ОСУЩЕСТВЛЕНИЕ СТРАХОВОЙ ДЕЯТЕЛЬНОСТИ"
(Зарегистрировано в Минюсте РФ 16.05.2014 N 32296)
Показывать страниц:
1
10
100
Для качественной печати:
PDF-файл документа (130 Кб)
<<
<
1
2
3
4
>
>>
Страница
3
из
4
<<
<
1
2
3
4
>
>>