Министерство Юстиции Российской Федерации
версия для слабовидящих
×
Закрыть
Информация об официальном опубликовании
Документ официально опубликован в "Бюллетене нормативных актов федеральных органов исполнительной власти", N 10, 10.03.2014
ПРИКАЗ ФМС РФ от 22.04.2013 N 215
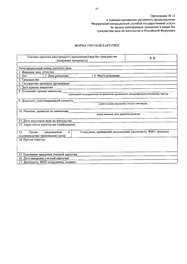
"ОБ УТВЕРЖДЕНИИ АДМИНИСТРАТИВНОГО РЕГЛАМЕНТА ПРЕДОСТАВЛЕНИЯ ФЕДЕРАЛЬНОЙ МИГРАЦИОННОЙ СЛУЖБОЙ ГОСУДАРСТВЕННОЙ УСЛУГИ ПО ВЫДАЧЕ ИНОСТРАННЫМ ГРАЖДАНАМ И ЛИЦАМ БЕЗ ГРАЖДАНСТВА ВИДА НА ЖИТЕЛЬСТВО В РОССИЙСКОЙ ФЕДЕРАЦИИ"
(Зарегистрировано в Минюсте РФ 22.01.2014 N 31077)
Справка к документу
Показывать страниц:
1
10
100
Для качественной печати:
PDF-файл документа (5 Мб)
<<
<
72
73
74
75
76
77
78
79
>
>>
Страница
77
из
79
<<
<
72
73
74
75
76
77
78
79
>
>>