Министерство Юстиции Российской Федерации версия для слабовидящих
ПРИКАЗ Минтруда РФ от 01.11.2013 N 652н (Начало)
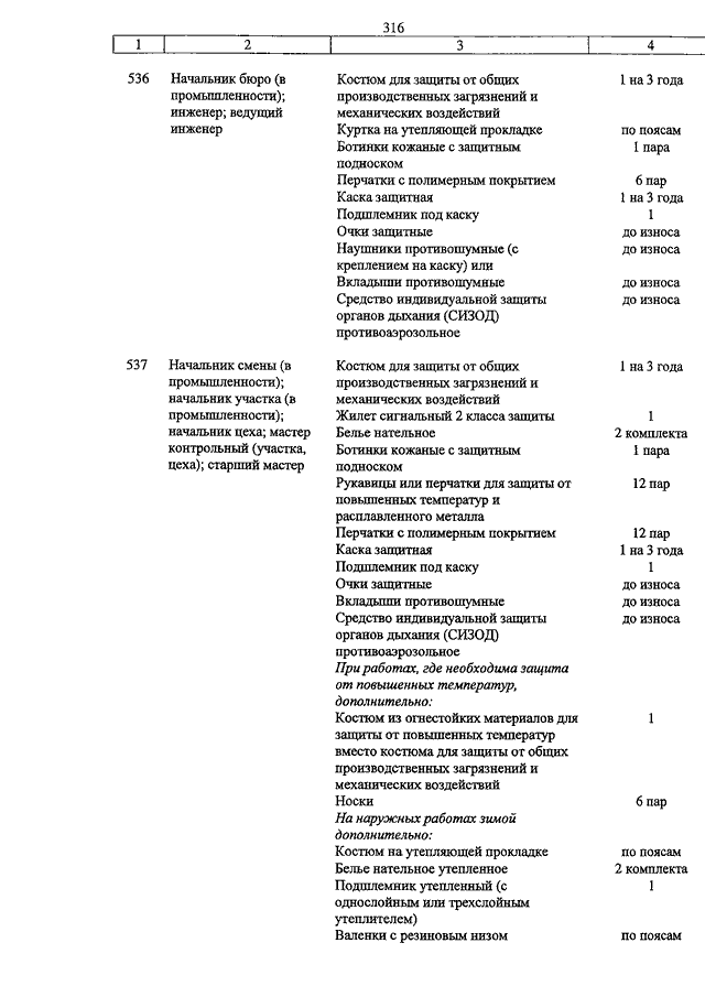
"ОБ УТВЕРЖДЕНИИ ТИПОВЫХ НОРМ БЕСПЛАТНОЙ ВЫДАЧИ СПЕЦИАЛЬНОЙ ОДЕЖДЫ, СПЕЦИАЛЬНОЙ ОБУВИ И ДРУГИХ СРЕДСТВ ИНДИВИДУАЛЬНОЙ ЗАЩИТЫ РАБОТНИКАМ ГОРНОЙ И МЕТАЛЛУРГИЧЕСКОЙ ПРОМЫШЛЕННОСТИ И МЕТАЛЛУРГИЧЕСКИХ ПРОИЗВОДСТВ ДРУГИХ ОТРАСЛЕЙ ПРОМЫШЛЕННОСТИ, ЗАНЯТЫМ НА РАБОТАХ С ВРЕДНЫМИ И (ИЛИ) ОПАСНЫМИ УСЛОВИЯМИ ТРУДА, А ТАКЖЕ НА РАБОТАХ, ВЫПОЛНЯЕМЫХ В ОСОБЫХ ТЕМПЕРАТУРНЫХ УСЛОВИЯХ ИЛИ СВЯЗАННЫХ С ЗАГРЯЗНЕНИЕМ"
(Зарегистрировано в Минюсте РФ 31.12.2013 N 30969)
Показывать страниц:
Для качественной печати: PDF-файл документа (29 Мб)
Страница 317 из 701