Министерство Юстиции Российской Федерации версия для слабовидящих
ПРИКАЗ Минспорта РФ от 10.03.2026 N 200
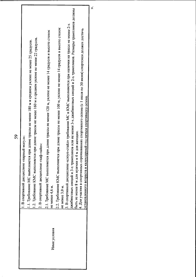
"О ВНЕСЕНИИ ИЗМЕНЕНИЙ В НОРМЫ, ТРЕБОВАНИЯ И УСЛОВИЯ ИХ ВЫПОЛНЕНИЯ ПО СООТВЕТСТВУЮЩИМ ВИДАМ СПОРТА, ВКЛЮЧЕННЫЕ В ЕДИНУЮ ВСЕРОССИЙСКУЮ СПОРТИВНУЮ КЛАССИФИКАЦИЮ (ВИДЫ СПОРТА, ВКЛЮЧЕННЫЕ В ПРОГРАММУ ОЛИМПИЙСКИХ ЗИМНИХ ИГР), УТВЕРЖДЕННУЮ ПРИКАЗОМ МИНИСТЕРСТВА СПОРТА РОССИЙСКОЙ ФЕДЕРАЦИИ ОТ 14 ДЕКАБРЯ 2022 Г. N 1216"
(Зарегистрировано в Минюсте РФ 16.04.2026 N 86079)
Показывать страниц:
Для качественной печати: PDF-файл документа (10 Мб)
Страница 59 из 66