Министерство Юстиции Российской Федерации версия для слабовидящих
ПРИКАЗ Минтранса РФ от 04.03.2026 N 88
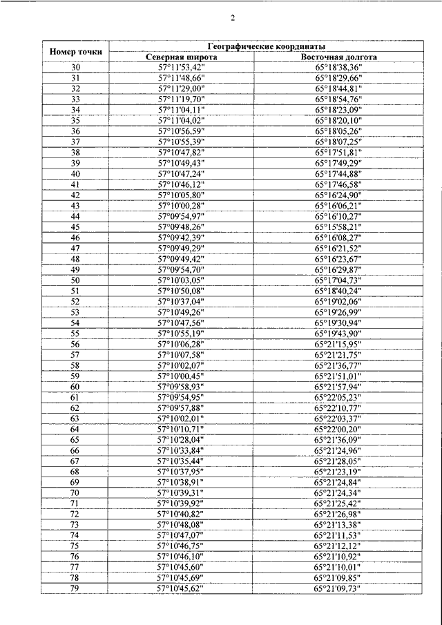
"ОБ ОТКРЫТИИ ВОЗДУШНОГО ГРУЗО - ПАССАЖИРСКОГО ПОСТОЯННОГО МНОГОСТОРОННЕГО ПУНКТА ПРОПУСКА ЧЕРЕЗ ГОСУДАРСТВЕННУЮ ГРАНИЦУ РОССИЙСКОЙ ФЕДЕРАЦИИ В МЕЖДУНАРОДНОМ АЭРОПОРТУ ТЮМЕНЬ (РОЩИНО) (ТЮМЕНСКАЯ ОБЛАСТЬ) В РАМКАХ 1 ЭТАПА И ОБ УТВЕРЖДЕНИИ ПРЕДЕЛОВ ДАННОГО ПУНКТА ПРОПУСКА ЧЕРЕЗ ГОСУДАРСТВЕННУЮ ГРАНИЦУ РОССИЙСКОЙ ФЕДЕРАЦИИ"
(Зарегистрировано в Минюсте РФ 01.04.2026 N 85836)
Показывать страниц:
Для качественной печати: PDF-файл документа (686 Кб)
Страница 4 из 13