Министерство Юстиции Российской Федерации версия для слабовидящих
ПРИКАЗ Минкультуры РФ от 28.11.2025 N 2198
"ОБ УТВЕРЖДЕНИИ ТРЕБОВАНИЙ К ОСУЩЕСТВЛЕНИЮ ДЕЯТЕЛЬНОСТИ И ГРАДОСТРОИТЕЛЬНОМУ РЕГЛАМЕНТУ В ГРАНИЦАХ ТЕРРИТОРИИ ОБЪЕКТА КУЛЬТУРНОГО НАСЛЕДИЯ (ПАМЯТНИКА ИСТОРИИ И КУЛЬТУРЫ) НАРОДОВ РОССИЙСКОЙ ФЕДЕРАЦИИ ФЕДЕРАЛЬНОГО ЗНАЧЕНИЯ - ДОСТОПРИМЕЧАТЕЛЬНОЕ МЕСТО "УСАДЬБА "ГОРКИ": ПАМЯТНОЕ МЕСТО, СВЯЗАННОЕ С ПОСЛЕДНИМИ ГОДАМИ ЖИЗНИ И ДЕЯТЕЛЬНОСТИ В.И. ЛЕНИНА", 1918-1924 ГГ. (МОСКОВСКАЯ ОБЛАСТЬ, ЛЕНИНСКИЙ ГОРОДСКОЙ ОКРУГ, РАБОЧИЙ ПОСЕЛОК ГОРКИ ЛЕНИНСКИЕ)"
(Зарегистрировано в Минюсте РФ 17.03.2026 N 85639)
Показывать страниц:
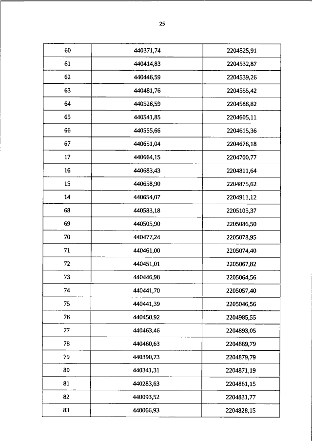
Для качественной печати: PDF-файл документа (44 Мб)
Страница 25 из 69