Министерство Юстиции Российской Федерации
версия для слабовидящих
×
Закрыть
Информация об официальном опубликовании
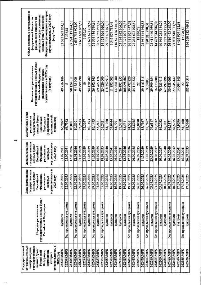
ПРИКАЗ Минфина РФ от 28.01.2026 N 6н
"ОБ УТВЕРЖДЕНИИ ОТЧЕТА ОБ ИТОГАХ ЭМИССИИ ГОСУДАРСТВЕННЫХ ЦЕННЫХ БУМАГ РОССИЙСКОЙ ФЕДЕРАЦИИ В 2025 ГОДУ"
(Зарегистрировано в Минюсте РФ 26.02.2026 N 85476)
Показывать страниц:
1
10
100
Для качественной печати:
PDF-файл документа (632 Кб)
<<
<
1
2
3
4
5
6
7
8
>
>>
Страница
4
из
8
<<
<
1
2
3
4
5
6
7
8
>
>>